Quảng cáo
11 câu trả lời 70624
Giải bài toán thời gian hoàn thành công việc
Phân tích bài toán
Gọi:
- x (giờ) là thời gian người thứ nhất làm một mình để hoàn thành công việc.
- y (giờ) là thời gian người thứ hai làm một mình để hoàn thành công việc.
Theo giả thiết:
- Hai người cùng làm chung hoàn thành công việc trong
. - Thời gian người thứ nhất làm ít hơn người thứ hai là 2 giờ:
y = x + 2
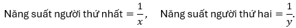
Năng suất làm việc của mỗi người:
![]()
Tổng năng suất của hai người khi làm chung là:

Thiết lập phương trình
Thay y = x + 2 vào phương trình năng suất làm việc:
![]()
Giải phương trình
Quy đồng mẫu số:
![]()
Rút gọn tử số:
![]()
Nhân chéo để khử mẫu:
![]()
Mở rộng biểu thức:
![]()
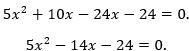
Chuyển vế về phương trình bậc hai:

Giải phương trình bậc hai
Phương trình bậc hai có dạng:
![]()
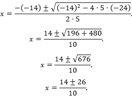
Áp dụng công thức nghiệm:
![]()
với a = 5, b = -14, c = -24. Thay vào ta có:

Tính hai nghiệm:
![]()
Do x là thời gian, nên x > 0. Do đó:
![]()
Tính thời gian của người thứ hai
Thời gian người thứ hai hoàn thành công việc:
![]()
Kết luận
Thời gian mỗi người làm một mình để hoàn thành công việc là:
![]()

Vậy người 1 làm trong 4 giờ; người 2 làm trong 6 giờ
Vậy người 1 làm trong 4 giờ; người 2 làm trong 6 giờ
Step 1: Đặt biến và điều kiện
Gọi thời gian người thứ nhất hoàn thành công việc một mình là xx
𝑥
(giờ).
Theo đề bài, thời gian người thứ hai hoàn thành công việc một mình là x+2x plus 2
𝑥+2
(giờ).
Điều kiện: x>0x is greater than 0
𝑥>0
.
Step 2: Biểu diễn năng suất làm việc
Trong 1 giờ, người thứ nhất làm được 1x1 over x end-fraction
1𝑥
phần công việc.
Trong 1 giờ, người thứ hai làm được 1x+2the fraction with numerator 1 and denominator x plus 2 end-fraction
1𝑥+2
phần công việc.
Cả hai người cùng làm trong 125twelve-fifths
125
giờ thì xong, nghĩa là trong 1 giờ cả hai làm được 1125=5121 over twelve-fifths end-fraction equals 5 over 12 end-fraction
1125=512
phần công việc.
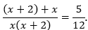
Step 3: Lập phương trình
Ta có phương trình:
1x+1x+2=5121 over x end-fraction plus the fraction with numerator 1 and denominator x plus 2 end-fraction equals 5 over 12 end-fraction
1𝑥+1𝑥+2=512
Step 4: Giải phương trình
Quy đồng mẫu số và giải phương trình:
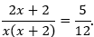
x+2+xx(x+2)=512the fraction with numerator x plus 2 plus x and denominator x open paren x plus 2 close paren end-fraction equals 5 over 12 end-fraction
𝑥+2+𝑥𝑥(𝑥+2)=512
2x+2x2+2x=512the fraction with numerator 2 x plus 2 and denominator x squared plus 2 x end-fraction equals 5 over 12 end-fraction
2𝑥+2𝑥2+2𝑥=512
12(2x+2)=5(x2+2x)12 open paren 2 x plus 2 close paren equals 5 open paren x squared plus 2 x close paren
12(2𝑥+2)=5(𝑥2+2𝑥)
24x+24=5x2+10x24 x plus 24 equals 5 x squared plus 10 x
24𝑥+24=5𝑥2+10𝑥
5x2−14x−24=05 x squared minus 14 x minus 24 equals 0
5𝑥2−14𝑥−24=0
Sử dụng công thức nghiệm phương trình bậc hai ax2+bx+c=0a x squared plus b x plus c equals 0
𝑎𝑥2+𝑏𝑥+𝑐=0
:
Δ′=(-142)2−5(-24)=(-7)2+120=49+120=169cap delta prime equals open paren negative 14 over 2 end-fraction close paren squared minus 5 open paren negative 24 close paren equals open paren negative 7 close paren squared plus 120 equals 49 plus 120 equals 169
Δ′=(−142)2−5(−24)=(−7)2+120=49+120=169
Δ′=169=13the square root of cap delta prime end-root equals the square root of 169 end-root equals 13
Δ′√=169√=13
Hai nghiệm của phương trình là:
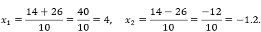
x1=−b′+Δ′a=7+135=205=4x sub 1 equals the fraction with numerator negative b prime plus the square root of cap delta prime end-root and denominator a end-fraction equals the fraction with numerator 7 plus 13 and denominator 5 end-fraction equals 20 over 5 end-fraction equals 4
𝑥1=−𝑏′+Δ′√𝑎=7+135=205=4
x2=−b′−Δ′a=7−135=-65=-1.2x sub 2 equals the fraction with numerator negative b prime minus the square root of cap delta prime end-root and denominator a end-fraction equals the fraction with numerator 7 minus 13 and denominator 5 end-fraction equals negative 6 over 5 end-fraction equals negative 1.2
𝑥2=−𝑏′−Δ′√𝑎=7−135=−65=−1.2
Step 5: Kiểm tra điều kiện và kết luận
So sánh với điều kiện x>0x is greater than 0
𝑥>0
, ta loại nghiệm x2=-1.2x sub 2 equals negative 1.2
𝑥2=−1.2
.
Nghiệm x1=4x sub 1 equals 4
𝑥1=4
thỏa mãn điều kiện.
Vậy thời gian người thứ nhất làm một mình là 4 giờ.
Thời gian người thứ hai làm một mình là 4+2=64 plus 2 equals 6
4+2=6
giờ.
Answer:
Thời gian người thứ nhất làm một mình là 4 giờ, thời gian người thứ hai làm một mình là 6 giờ.
Quảng cáo
Bạn cần hỏi gì?
Câu hỏi hot cùng chủ đề
-
Đã trả lời bởi chuyên gia
105956 -
Đã trả lời bởi chuyên gia
58835 -
Đã trả lời bởi chuyên gia
51012 -
Đã trả lời bởi chuyên gia
48814 -
Đã trả lời bởi chuyên gia
38389 -
Đã trả lời bởi chuyên gia
38274



