Quảng cáo
4 câu trả lời 320
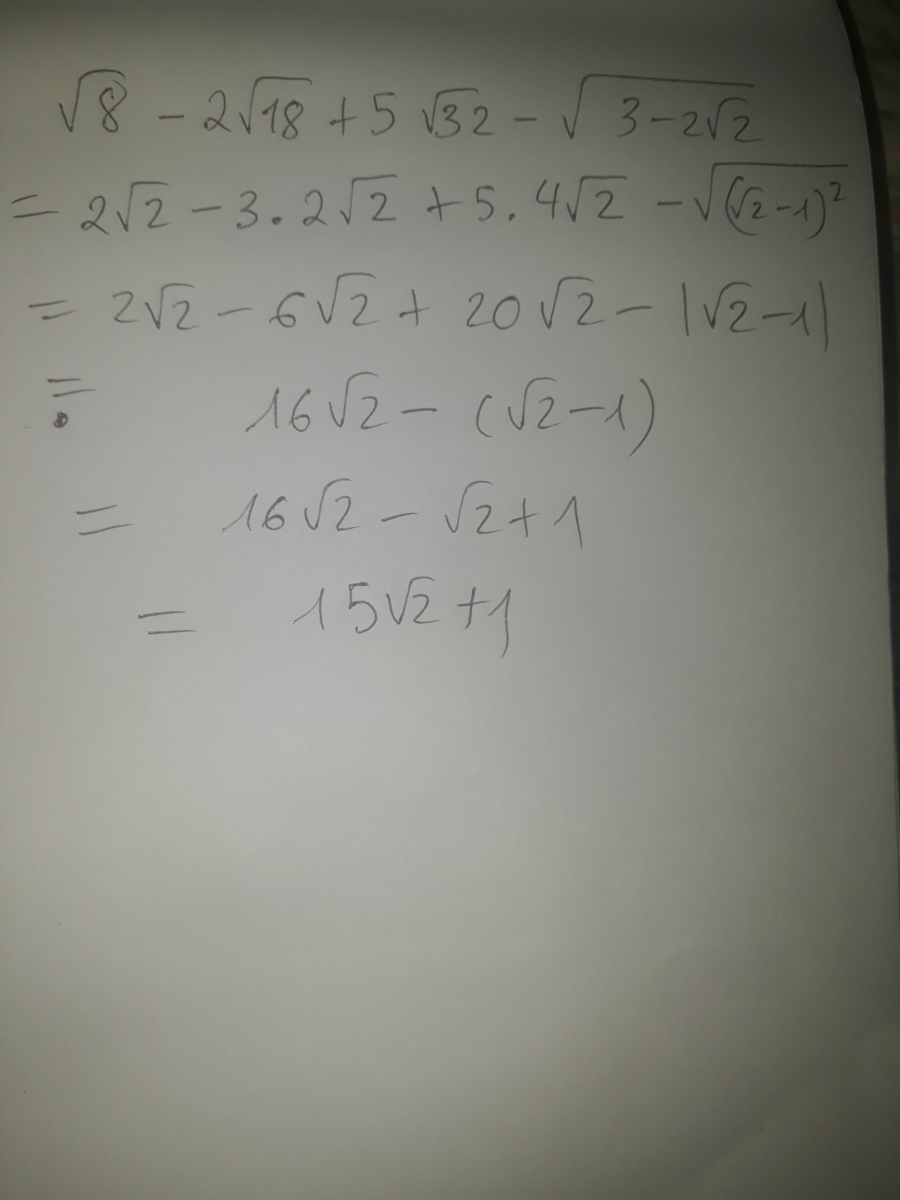
\[\begin{array}{l}
\sqrt 8 - 2\sqrt {18} + 5\sqrt {32} - \sqrt {3 - 2\sqrt 2 } \\
= 2\sqrt 2 - 2.3\sqrt 2 + 5.4\sqrt 2 - \sqrt {2 - 2\sqrt 2 + 1} \\
= 2\sqrt 2 - 6\sqrt 2 + 20\sqrt 2 - \sqrt {{{(\sqrt 2 - 1)}^2}} \\
= 16\sqrt 2 - |\sqrt 2 - 1|\\
= 16\sqrt 2 - (\sqrt 2 - 1)(do:\sqrt 2 - 1 > 0)\\
= 16\sqrt 2 - \sqrt 2 + 1\\
= 15\sqrt 2 + 1
\end{array}\]
1 giờ trước
√8−2√18+5√32−√3−2√2=2√2−2.3√2+5.4√2−√2−2√2+1=2√2−6√2+20√2−√(√2−1)2=16√2−|√2−1|=16√2−(√2−1)(do:√2−1>0)=16√2−√2+1=15√2+1
Quảng cáo
Bạn cần hỏi gì?
Câu hỏi hot cùng chủ đề
-
Đã trả lời bởi chuyên gia
103520 -
Hỏi từ APP VIETJACK
Đã trả lời bởi chuyên gia
68861 -
Đã trả lời bởi chuyên gia
56682 -
Đã trả lời bởi chuyên gia
47564 -
Đã trả lời bởi chuyên gia
44351 -
Đã trả lời bởi chuyên gia
36876 -
Đã trả lời bởi chuyên gia
35387
Gửi báo cáo thành công!


