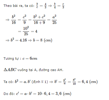
Bài 7. Cạnh huyền của một tam giác vuông là 10cm, các cạnh góc vuông tỉ lệ với 4 và 3. Tính độ dài hình
chiếu của hai cạnh góc vuông lên cạnh huyền.
Quảng cáo
2 câu trả lời 1979
Quảng cáo
Bạn cần hỏi gì?
Câu hỏi hot cùng chủ đề
-
Đã trả lời bởi chuyên gia
103520 -
Hỏi từ APP VIETJACK
Đã trả lời bởi chuyên gia
68861 -
Đã trả lời bởi chuyên gia
56682 -
Đã trả lời bởi chuyên gia
47564 -
Đã trả lời bởi chuyên gia
44351 -
Đã trả lời bởi chuyên gia
36876 -
Đã trả lời bởi chuyên gia
35387
Gửi báo cáo thành công!


.
