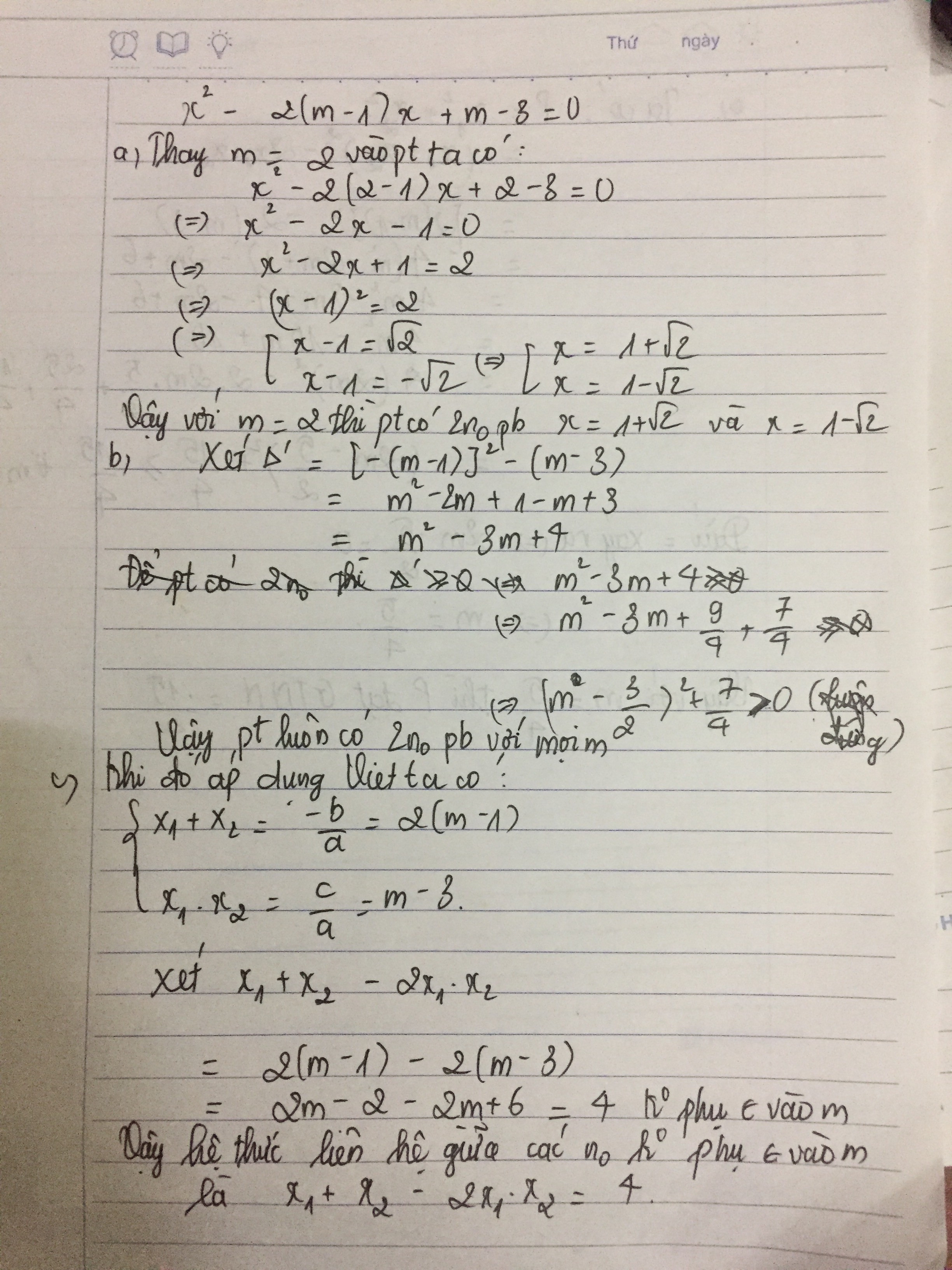
a) giải phương trình khi m =2
b) chứng minh rằng pt luôn có nghiệm với mọi giá trị của m
c) Tìm một hệ thức giữa các nghiệm độc lập với m
d) gọi x1,x2 là nghiệ của pt. tìm m để x1^2+x2^2 đạt GTNN
Quảng cáo
4 câu trả lời 392
Quảng cáo
Bạn cần hỏi gì?
Câu hỏi hot cùng chủ đề
-
Đã trả lời bởi chuyên gia
103520 -
Hỏi từ APP VIETJACK
Đã trả lời bởi chuyên gia
68861 -
Đã trả lời bởi chuyên gia
56682 -
Đã trả lời bởi chuyên gia
47564 -
Đã trả lời bởi chuyên gia
44351 -
Đã trả lời bởi chuyên gia
36876 -
Đã trả lời bởi chuyên gia
35387
Gửi báo cáo thành công!


