Quảng cáo
2 câu trả lời 307
2 năm trước
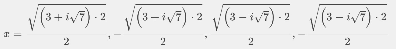
Để giải phương trình $-x^4+3x^2-4=0,$ ta có thể áp dụng phương pháp khai căn bậc 2. Đặt $y=x^2,$ ta có:
Giải phương trình bậc hai này ta được:
Từ $y=x^2$ suy ra:
hoặc
Vậy phương trình đã cho có hai nghiệm là $x=2$ hoặc $x=-2.$
Quảng cáo
Bạn cần hỏi gì?
Câu hỏi hot cùng chủ đề
-
Đã trả lời bởi chuyên gia
103520 -
Hỏi từ APP VIETJACK
Đã trả lời bởi chuyên gia
68861 -
Đã trả lời bởi chuyên gia
56682 -
Đã trả lời bởi chuyên gia
47564 -
Đã trả lời bởi chuyên gia
44351 -
Đã trả lời bởi chuyên gia
36876 -
Đã trả lời bởi chuyên gia
35387
Gửi báo cáo thành công!
