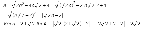
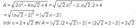
Giá trị của biểu thức✓2a²-4a√2+4 với a=2+√2 là:
giải thích chi tiết bước giải giúp ạ
Quảng cáo
2 câu trả lời 266
Quảng cáo
Bạn cần hỏi gì?
Câu hỏi hot cùng chủ đề
-
Đã trả lời bởi chuyên gia
105337 -
Hỏi từ APP VIETJACK
Đã trả lời bởi chuyên gia
70058 -
Đã trả lời bởi chuyên gia
58137 -
Đã trả lời bởi chuyên gia
49380 -
Đã trả lời bởi chuyên gia
48413 -
Đã trả lời bởi chuyên gia
37961 -
Đã trả lời bởi chuyên gia
37471
Gửi báo cáo thành công!

..