Ở trên vietjack cx có câu trả lời á,nhưng mik ko biết thay số vào thui,các cậu thay số làm giùm tớ đc ko ạ,giống y sì lời văn nhưng khác số thôi ạ
Quảng cáo
3 câu trả lời 1015
Ta có sơ đồ:
Giá sách thứ nhất sau chuyển là: |__|__|__|__|
350 - 250 = 100 ( cuốn)
Đáp số: 250 và 100 cuốn
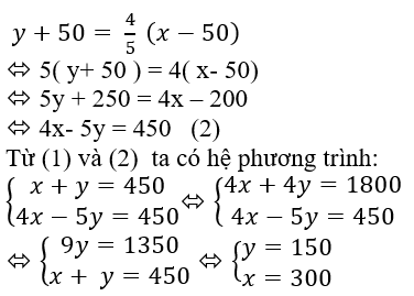
Gọi số sách ở giá thứ nhất là x ( cuốn)
Số sách ở giá thứ hai là y (cuốn), (x, y∈ N*; x> 50, x< 450, y< 450)
Hai giá sách có tất cả 450 cuốn nên x+ y = 450 (1)
Khi chuyển 50 cuốn từ giá thứ nhất sang giá thứ hai thì số sách ở giá thứ nhất khi đó là x- 50 và số sách ở giá thứ hai là y+ 50

Gọi số sách ở ngăn sách thứ nhất là : x ( 350 > x > 50 )
Số sách ở ngăn sách thứ nhất sau khi chuyển là : x - 50 ( cuốn )
Số sách ở ngăn sách thứ hai sau khi có thếm là : 3/4(x−50) (cuốn)
Do số sách không đổi , ta có phương trình sau :
x - 50 + 3/4(x−50)45(x−50) = 350
<=> x - 50 + 3x/4−200/4=350
Quảng cáo
Bạn cần hỏi gì?
Câu hỏi hot cùng chủ đề
-
Đã trả lời bởi chuyên gia
103643 -
Hỏi từ APP VIETJACK
Đã trả lời bởi chuyên gia
68927 -
Đã trả lời bởi chuyên gia
56777 -
Đã trả lời bởi chuyên gia
47628 -
Đã trả lời bởi chuyên gia
44434 -
Đã trả lời bởi chuyên gia
36922 -
Đã trả lời bởi chuyên gia
35490
