Quảng cáo
2 câu trả lời 8866
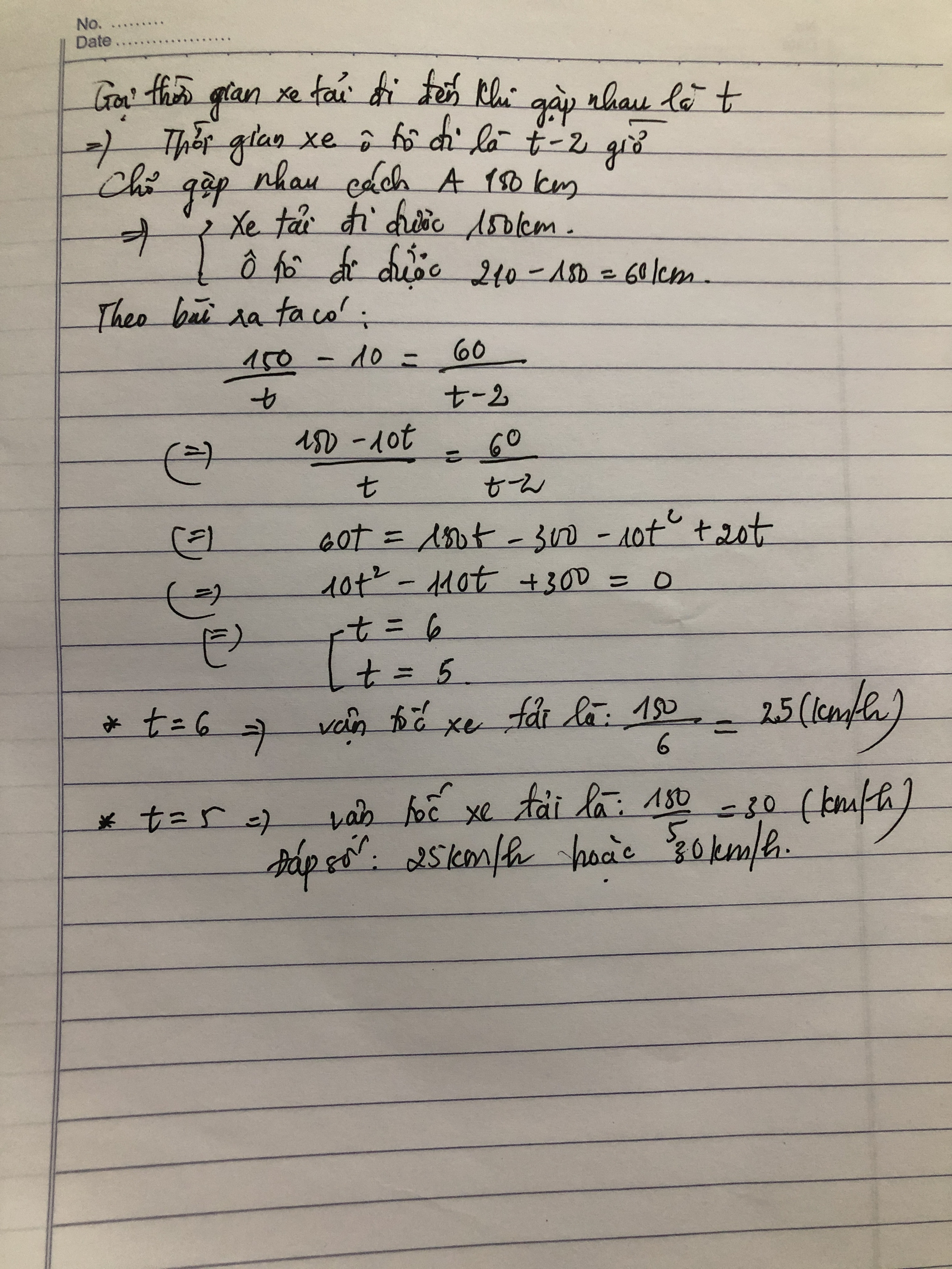
Gọi vận tốc của xe tải là `x` (km/h) (`x>0`)
`=>` Vận tốc của ô tô là `x+10` (km/h)
Thời gian xe tải đi từa A đến điểm gặp nhau là: `\frac{150}{x}` (giờ)
Quãng đường ô tô đi từ B đến điểm gặp nhau là: `210-150=60` (km)
Thời gian ô tô đi từ B đến điểm gặp nhau là: `\frac{60}{x+10}` (giờ)
Vì ô tô xuất phát sau xe tải `2` giờ nên ta có phương trình:
$\begin{array}{l} \dfrac{{150}}{x} - \dfrac{{60}}{{x + 10}} = 2\\ \Leftrightarrow \dfrac{{150x + 1500 - 60x}}{{{x^2} + 10x}} = 2\\ \Rightarrow 90x + 1500 = 2{x^2} + 20x\\ \Leftrightarrow 2{x^2} - 70x - 1500 = 0\\ \Leftrightarrow (x - 50)(x + 15) = 0\\ \Leftrightarrow \left[ \begin{array}{l} x = 50(TM)\\ x = - 15(KTM) \end{array} \right. \end{array}$
Vậy vận tốc của xe tải là `50`km/h
Quảng cáo
Bạn muốn hỏi bài tập?
Câu hỏi hot cùng chủ đề
-
103437
-
Hỏi từ APP VIETJACK68807
-
56608
-
47524
-
44249
-
36842
-
35274
