Hong Do huu
Hỏi từ APP VIETJACK
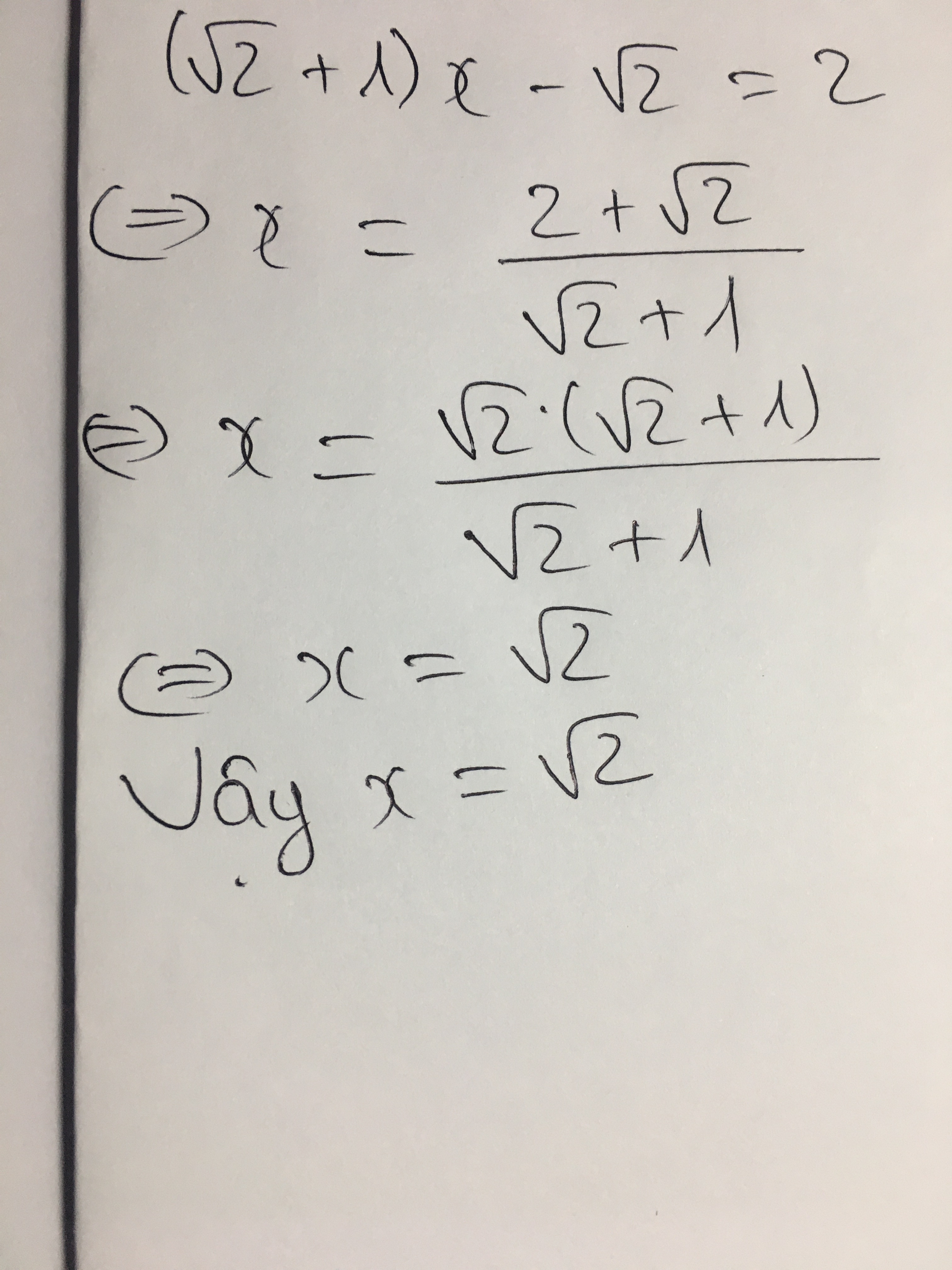
Giải phương trình: ( căn 2 + 1 )x - căn 2 =2
Quảng cáo
1 câu trả lời 3162
Quảng cáo
Bạn muốn hỏi bài tập?
Câu hỏi hot cùng chủ đề
-
103349
-
Hỏi từ APP VIETJACK68744
-
56565
-
47490
-
44183
-
36818
-
35211
Gửi báo cáo thành công!

