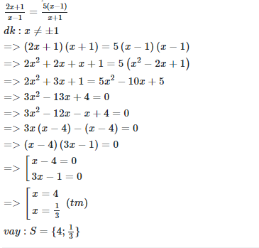
2x+1/x-1=5(x-1)/x+1
Quảng cáo
1 câu trả lời 7277
.

Khánh Ly
· 2 năm trước
-13x phải là 13x mới đúng chứ bạn
Khánh Ly
· 2 năm trước
-10x chuyển qua phải là 10x
Quảng cáo
Bạn cần hỏi gì?
Câu hỏi hot cùng chủ đề
-
Đã trả lời bởi chuyên gia
105261 -
Hỏi từ APP VIETJACK
Đã trả lời bởi chuyên gia
69992 -
Đã trả lời bởi chuyên gia
58082 -
Đã trả lời bởi chuyên gia
49147 -
Đã trả lời bởi chuyên gia
48356 -
Đã trả lời bởi chuyên gia
37910 -
Đã trả lời bởi chuyên gia
37360
Gửi báo cáo thành công!
