Ngân Nguyễn
Hỏi từ APP VIETJACK
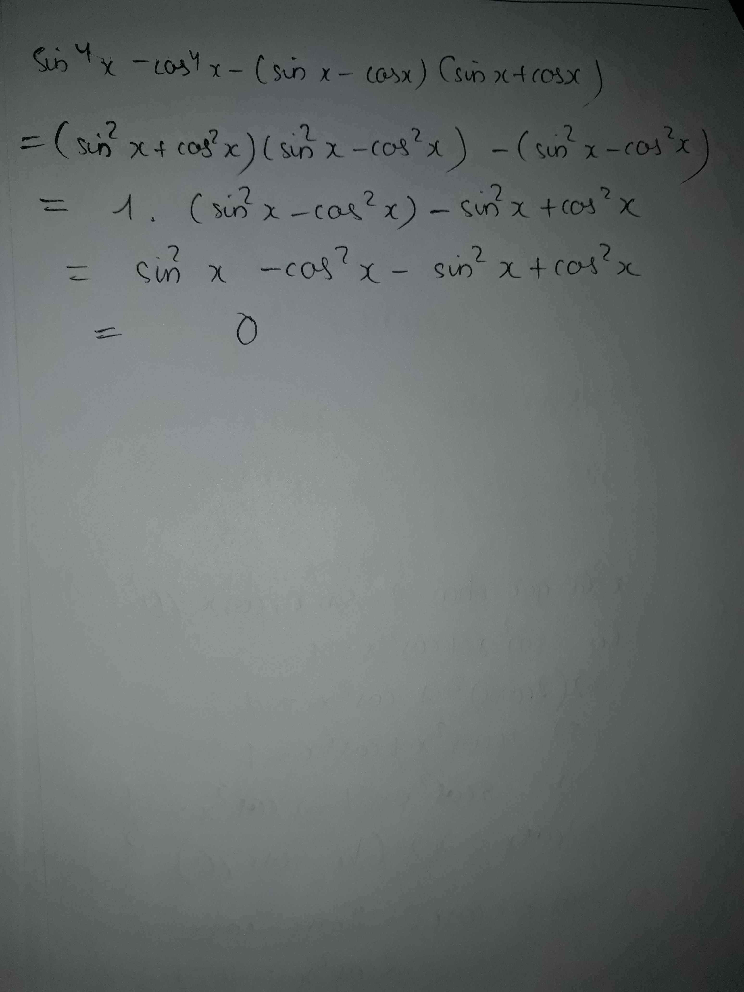
Rút gọn biểu thức: sin^4x - cos^4x-( sin x - cos x)(sin x+ cos x)
Quảng cáo
2 câu trả lời 1713
Quảng cáo
Bạn muốn hỏi bài tập?
Câu hỏi hot cùng chủ đề
-
103437
-
Hỏi từ APP VIETJACK68807
-
56608
-
47524
-
44249
-
36842
-
35274
Gửi báo cáo thành công!

