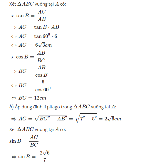
Bài 2. Cho tam giác ABC vuông tại A, giải tam giác ABC biết: a) AB = 6 cm và B = 60 ° b) AB = 5 cm và BC = 7 cm
Quảng cáo
2 câu trả lời 3778

a, Áp dụng tỉ số lượng giác vào ABC vuông tại A có:
.

a,
Ta có: ΔABC vuông tại A nên:
⇒góc C=90 độ −góc B=90 độ − 60 độ =30 độ

⇔góc B=
Lại có: góc B+góc C=90 độ
⇒góc C = 90 độ− góc B=
Vậy
Quảng cáo
Bạn cần hỏi gì?
Câu hỏi hot cùng chủ đề
-
Đã trả lời bởi chuyên gia
105261 -
Hỏi từ APP VIETJACK
Đã trả lời bởi chuyên gia
69992 -
Đã trả lời bởi chuyên gia
58082 -
Đã trả lời bởi chuyên gia
49147 -
Đã trả lời bởi chuyên gia
48356 -
Đã trả lời bởi chuyên gia
37910 -
Đã trả lời bởi chuyên gia
37360
Gửi báo cáo thành công!
