Quảng cáo
2 câu trả lời 1775
Quảng cáo
Bạn cần hỏi gì?
Câu hỏi hot cùng chủ đề
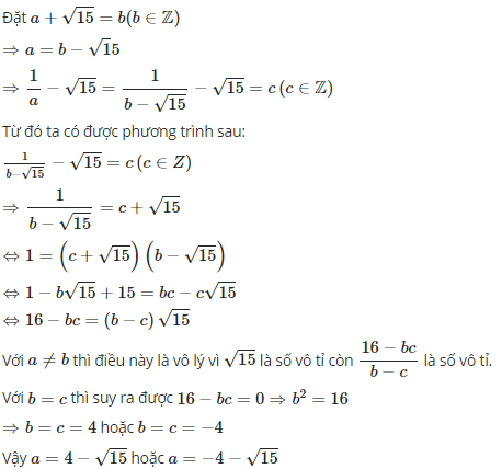
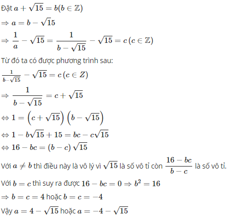
-
Đã trả lời bởi chuyên gia
105261 -
Hỏi từ APP VIETJACK
Đã trả lời bởi chuyên gia
69992 -
Đã trả lời bởi chuyên gia
58082 -
Đã trả lời bởi chuyên gia
49147 -
Đã trả lời bởi chuyên gia
48356 -
Đã trả lời bởi chuyên gia
37910 -
Đã trả lời bởi chuyên gia
37360
Gửi báo cáo thành công!


