Một ô tô đi từ A đến B dài 110km, khi đi được 40p thì xe ô tô bị hỏng lốp nên xe phải dừng lại và sửa hết 10p. Để đến B đúng thời gian dự định, ô tô đi quãng đường còn lại với vận tốc hơn vận tốc ban đầu là 10km/h. Tính vận tốc của ô tô lúc ban đầu?
Quảng cáo
1 câu trả lời 2574
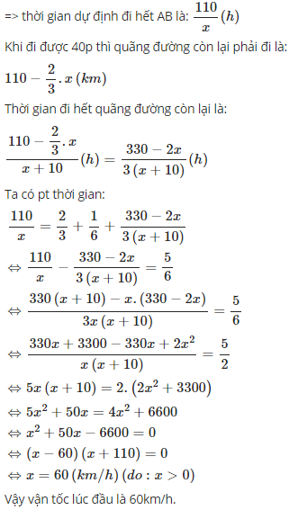
Đổi 40p = 2/3 giờ; 10p=1/6 giờ
Gọi vận tốc lúc đầu của ô tô là x (km/h) (x>0)

Quảng cáo
Bạn muốn hỏi bài tập?
Câu hỏi hot cùng chủ đề
-
103437
-
Hỏi từ APP VIETJACK68807
-
56608
-
47524
-
44249
-
36842
-
35274
Gửi báo cáo thành công!
