Quảng cáo
2 câu trả lời 4881
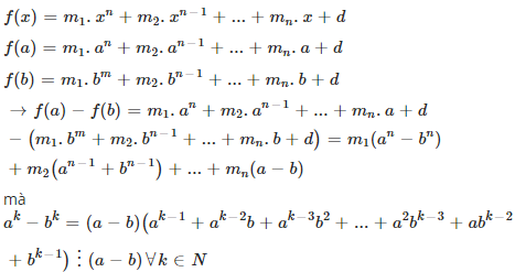
Ta sẽ chứng minh tính chất f(a)−f(b)⋮(a−b) với f(x) là đa thức có hệ số nguyên.

→đpcm
Quay lại bài toán, giả sử a≥b≥c
Áp dụng tính chất vừa chứng minh, ta có:

Phan Thanh Vinh
· 11 tháng trước
Ủa bạn ơi, a b c là các số nguyên nên vẫn có khả năng a-b=<c-a mà. Ví dụ -5=
Phan Thanh Vinh
· 11 tháng trước
Ủa bạn ơi, a b c là các số nguyên nên vẫn có khả năng a-b=<c-a mà. Ví dụ -5<1 nhưng -5 chia hết cho 1 kìa
Phan Thanh Vinh
· 11 tháng trước
à không mình bị ngáo sorry
Phan Thanh Vinh
· 11 tháng trước
đâu bạn sai r đó
Phan Thanh Vinh
· 11 tháng trước
cái chỗ đó lập luận chưa đúng
4 năm trước
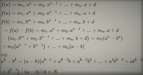
Ta sẽ chứng minh tính chất f(a)−f(b)⋮(a−b) với f(x) là đa thức có hệ số nguyên.

→đpcm
Quay lại bài toán, giả sử a≥b≥c
Áp dụng tính chất vừa chứng minh, ta có:

.
Quảng cáo
Bạn cần hỏi gì?
Câu hỏi hot cùng chủ đề
-
Đã trả lời bởi chuyên gia
103520 -
Hỏi từ APP VIETJACK
Đã trả lời bởi chuyên gia
68861 -
Đã trả lời bởi chuyên gia
56682 -
Đã trả lời bởi chuyên gia
47564 -
Đã trả lời bởi chuyên gia
44351 -
Đã trả lời bởi chuyên gia
36876 -
Đã trả lời bởi chuyên gia
35387
Gửi báo cáo thành công!
