Đan Trường
Hỏi từ APP VIETJACK
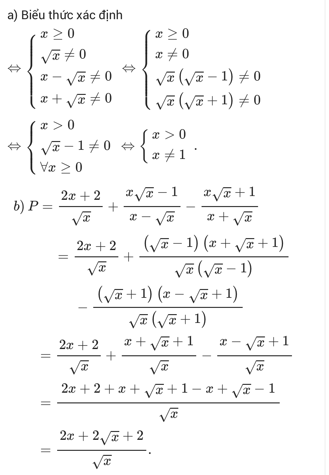
cho biểu thức P= 2x + 2 trên căn x - x căn x - 1 trên x - căn x - x^2 + căn x trên x căn x + x. với x > 0, x khác 1 .
a, rút gọn biểu thức P.
b, tìm giá trị biểu thức P khi x bằng 3 - 2 căn 2.
c, chứng minh rằng với mọi giá trị của x để biểu thức P có nghĩa thì biểu thức 7 trên P chỉ nhận một giá trị nguyên.
Quảng cáo
1 câu trả lời 3035
Quảng cáo
Bạn muốn hỏi bài tập?
Câu hỏi hot cùng chủ đề
-
103437
-
Hỏi từ APP VIETJACK68807
-
56608
-
47524
-
44249
-
36842
-
35274
Gửi báo cáo thành công!


