Quảng cáo
1 câu trả lời 4302
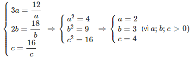
Điều kiện a; b; c>0
+12+8=52
⇒4F≥52⇒ F≥13
Dấu "=" xảy ra khi:

Vậy GTNN của F bằng 13 khi a=2; b=3; c=4
thanh nguyễn
· 10 tháng trước
tại sao lại phải nhân 4 mà không phải nhân nhưững con số khác ạ, có mẹo nào để tìm được số dễ dnhanh không ạ
Quảng cáo
Bạn muốn hỏi bài tập?
Câu hỏi hot cùng chủ đề
-
103349
-
Hỏi từ APP VIETJACK68744
-
56565
-
47490
-
44183
-
36818
-
35211
Gửi báo cáo thành công!
