Quảng cáo
1 câu trả lời 424

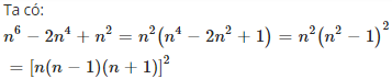
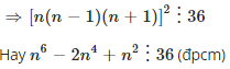
Ta thấy (n−1)n(n+1) là tích của 3 số nguyên liên tiếp với n nguyên
⇒(n−1)n(n+1)⋮2; 3
⇒(n−1)n(n+1)⋮6

Quảng cáo
Bạn muốn hỏi bài tập?
Câu hỏi hot cùng chủ đề
-
103437
-
Hỏi từ APP VIETJACK68807
-
56608
-
47524
-
44249
-
36842
-
35274
Gửi báo cáo thành công!
