"Thớt"một dụng cụ đặt trong bếp của mỗi gia đình để thái rau, chặt thịt, ...Một cái thớt hình trụ có đường kính đáy 22cm, cao 4cm.
a)Tính diện tích bề mặt thớt (làm tròn đến cm²)
b)Thớt nặng bao nhiêu gram? Cho biết loại gỗ làm thớt có khối lượng 500kg/m³ và công thức tính thể tích hình trụ là V=S.h (trong đó S là diện tích đáy và h là chiều cao hình trụ).
Quảng cáo
1 câu trả lời 4021
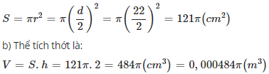
a) Diện tích bề mặt thớt là:

Cân nặng của thớt là:
500.0,000484π= 0,242π(kg)= 0,000242π(gr)
Quảng cáo
Bạn cần hỏi gì?
Câu hỏi hot cùng chủ đề
-
Đã trả lời bởi chuyên gia
103643 -
Hỏi từ APP VIETJACK
Đã trả lời bởi chuyên gia
68927 -
Đã trả lời bởi chuyên gia
56777 -
Đã trả lời bởi chuyên gia
47628 -
Đã trả lời bởi chuyên gia
44434 -
Đã trả lời bởi chuyên gia
36922 -
Đã trả lời bởi chuyên gia
35490
Gửi báo cáo thành công!
