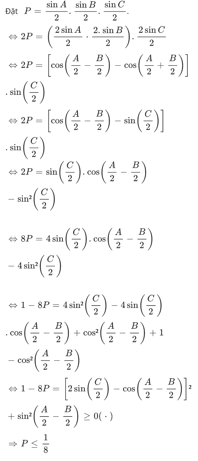
Cho tam giác ABC nhọn. Cmr: a)sin A/2×sinB/2×sinC/2 nhỏ hơn hoặc bằng 1/8
Quảng cáo
1 câu trả lời 4577
Quảng cáo
Bạn cần hỏi gì?
Câu hỏi hot cùng chủ đề
-
Đã trả lời bởi chuyên gia
103643 -
Hỏi từ APP VIETJACK
Đã trả lời bởi chuyên gia
68927 -
Đã trả lời bởi chuyên gia
56777 -
Đã trả lời bởi chuyên gia
47628 -
Đã trả lời bởi chuyên gia
44434 -
Đã trả lời bởi chuyên gia
36922 -
Đã trả lời bởi chuyên gia
35490
Gửi báo cáo thành công!

