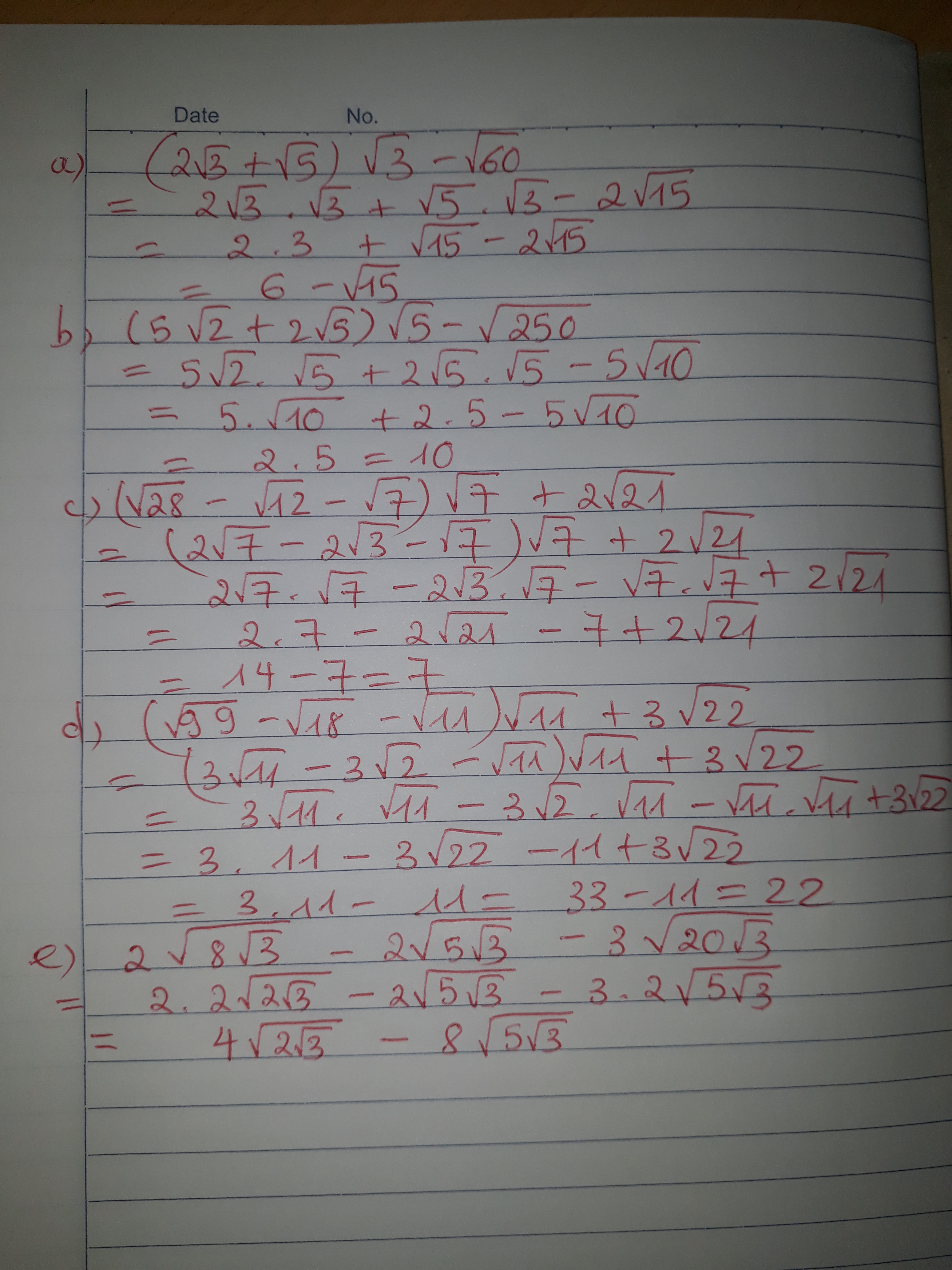
Rút gọn các biểu thức
Quảng cáo
2 câu trả lời 355
Quảng cáo
Bạn cần hỏi gì?
Câu hỏi hot cùng chủ đề
-
Đã trả lời bởi chuyên gia
103643 -
Hỏi từ APP VIETJACK
Đã trả lời bởi chuyên gia
68927 -
Đã trả lời bởi chuyên gia
56777 -
Đã trả lời bởi chuyên gia
47628 -
Đã trả lời bởi chuyên gia
44434 -
Đã trả lời bởi chuyên gia
36922 -
Đã trả lời bởi chuyên gia
35490
Gửi báo cáo thành công!


