Quảng cáo
2 câu trả lời 1997
Ta có: ac=−3<0
⇒ PT có 2 nghiệm phân biệt ∀m.
Để PT có 2 nghiệm phân biệt đều nguyên
⇒ là số chính phương.

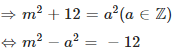
⇔(m−a)(m+a)=−12
m, a∈Zm
⇒m−a,m+a∈ Ư(−12)={±1,±2,±6,±12}
Vì m−a+m+a=2m là số chẵn
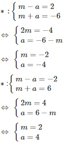
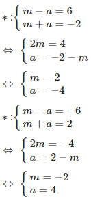
⇒ m−a,m+a∈{±2,±6}.


Vậy với m∈{2,−2} thì pt có 2 nghiệm phân biệt là số nguyên.
A҈N҈H҈ ☧H҈Ú☪︵²ᵏ⁷
· 4 năm trước
làm dài vc
Quảng cáo
Bạn cần hỏi gì?
Câu hỏi hot cùng chủ đề
-
Đã trả lời bởi chuyên gia
103520 -
Hỏi từ APP VIETJACK
Đã trả lời bởi chuyên gia
68861 -
Đã trả lời bởi chuyên gia
56682 -
Đã trả lời bởi chuyên gia
47564 -
Đã trả lời bởi chuyên gia
44351 -
Đã trả lời bởi chuyên gia
36876 -
Đã trả lời bởi chuyên gia
35387
Gửi báo cáo thành công!

vừa học xong!!!!