Quảng cáo
1 câu trả lời 3366
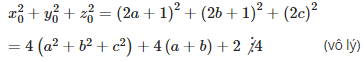
a) Giả sử (x0; y0; z0) là nghiệm của phương trình

Nếu x0; y0; z0 có hai số lẻ thì giả sử x0; y0 là hai số lẻ, z0 là số chẵn, tương tự với trường hợp còn lại ta được

2x0y0z0⋮4

Điều đó chỉ đúng với x=y=z=0. Vậy xyz⋮24
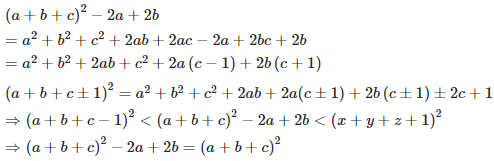
b)

Vậy (a; b; c)=(m; m,n) với m, n là các số nguyên dương tùy ý
Quảng cáo
Bạn muốn hỏi bài tập?
Câu hỏi hot cùng chủ đề
-
103437
-
Hỏi từ APP VIETJACK68807
-
56608
-
47524
-
44249
-
36842
-
35274
Gửi báo cáo thành công!
