Quảng cáo
1 câu trả lời 2725

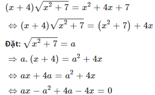
⇔a(x−a)+4(a−x)=0
⇔a(x−a)−4(x−a)=0
⇔(a−4)(x−a)=0

⇔7=0 (Vô lí)
Vậy: S={3;−3}
Quảng cáo
Bạn muốn hỏi bài tập?
Câu hỏi hot cùng chủ đề
-
103349
-
Hỏi từ APP VIETJACK68744
-
56565
-
47490
-
44183
-
36818
-
35211
Gửi báo cáo thành công!
