Quảng cáo
1 câu trả lời 3401
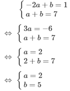
Vì đường thẳng y=ax+b đi qua 2 điểm A(−2;1) và điểm B(1;7) nên ta có hệ phương trình:

Vậy đường thẳng có hệ số góc k=a=2
Quảng cáo
Bạn muốn hỏi bài tập?
Câu hỏi hot cùng chủ đề
-
103437
-
Hỏi từ APP VIETJACK68807
-
56608
-
47524
-
44249
-
36842
-
35274
Gửi báo cáo thành công!
