Lớp 9A của một trường THCS có 34 học sinh. Trong đợt ủng hộ các học sinh vùng lũ lụt, đã quyên góp và ủng hộ tổng cộng 188 quyển vở mới. Biết rằng các bạn nữ ủng hộ 108 quyển và mỗi bạn nữ ủng hộ nhiều hơn bạn nam 1 quyển. Hỏi có bao nhiêu học sinh nam, bao nhiêu học sinh nữ?
Quảng cáo
1 câu trả lời 3370
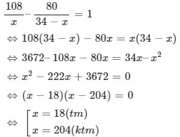
Gọi số học sinh nữ của lớp 9A là x (x∈N; 0<x<34)
Mỗi học sinh nữ đã ủng hộ 108/x quyển vở
Số học sinh nam của lớp 9A là: 34−x
Tổng số quyển vở mà các bạn nam ủng hộ là: 188−108=80
Mỗi học sinh nam đã ủng hộ
Do mỗi học sinh nữ ủng hộ nhiều hơn mỗi học sinh nam là 1 quyển nên ta có phương trình:

Vậy lớp 9A có 18 học sinh nữ và 34-18=16 học sinh nam
Quảng cáo
Bạn cần hỏi gì?
Câu hỏi hot cùng chủ đề
-
Đã trả lời bởi chuyên gia
105261 -
Hỏi từ APP VIETJACK
Đã trả lời bởi chuyên gia
69992 -
Đã trả lời bởi chuyên gia
58082 -
Đã trả lời bởi chuyên gia
49147 -
Đã trả lời bởi chuyên gia
48356 -
Đã trả lời bởi chuyên gia
37910 -
Đã trả lời bởi chuyên gia
37360
