Quảng cáo
1 câu trả lời 619
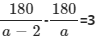
Gọi số xe dự định là: a (a>0)
số xe thực tế là : a-2
Ta có:
Mỗi xe theo dự định chở số tấn là: 180/a tấn
Thực tế mỗi xe chở tấn
Mỗi xe phải trở thêm 3 tấn hàng so với dự định
![]()
Δ'=1+120=121
=>=11
=>a1=1+11=12 xe (t/m)
a2=1-11=-10 xe (loại)
Vậy số xe ban đầu là: 12 xe
Quảng cáo
Bạn muốn hỏi bài tập?
Câu hỏi hot cùng chủ đề
-
Đã trả lời bởi chuyên gia
103520 -
Hỏi từ APP VIETJACK
Đã trả lời bởi chuyên gia
68861 -
Đã trả lời bởi chuyên gia
56682 -
Đã trả lời bởi chuyên gia
47564 -
Đã trả lời bởi chuyên gia
44351 -
Đã trả lời bởi chuyên gia
36876 -
Đã trả lời bởi chuyên gia
35387
Gửi báo cáo thành công!
