Một tháp nước có bể chứa là một hình cầu, bán kính phía trong đo được 6m. Người ta dự tính lượng nước đựng đầy trong tháp đó đủ dùng cho một khu dân cư trong một ngày. Cho biết khu dân cư đó có 6520 người. Hỏi người ta đã dự tính mức bình quân mỗi người dùng bao nhiêu lít nước trong 1 ngày ? (Lấy = 3,14).
Quảng cáo
1 câu trả lời 7792
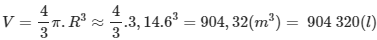
Thể tích nước trong bể:
![]()
Bình quân mỗi người dùng số lít nước 1 ngày là:
![]()
Quảng cáo
Bạn cần hỏi gì?
Câu hỏi hot cùng chủ đề
-
Đã trả lời bởi chuyên gia
103520 -
Hỏi từ APP VIETJACK
Đã trả lời bởi chuyên gia
68861 -
Đã trả lời bởi chuyên gia
56682 -
Đã trả lời bởi chuyên gia
47564 -
Đã trả lời bởi chuyên gia
44351 -
Đã trả lời bởi chuyên gia
36876 -
Đã trả lời bởi chuyên gia
35387
Gửi báo cáo thành công!
