Một người dự định đi xe đạp từ A đến B cách nhau 30km với vận tốc không đỏi. Tuy nhiên sau khi được nửa đường vì sự cố nên người này phải dừng lại 20 phút, do đó phải tăng vận tốc lên thêm 3km/h và đến B chậm hết 10 phút. Tính vận tốc dự định ban đầu của người ấy?
Quảng cáo
1 câu trả lời 6299
Gọi vận tốc dự định của người đó là x (x>0, km/h)
=>vận tốc sau của người đó là x+3 (km/h)
Thời gian dự định là: (h)
Thời gian thực tế là: ![]()
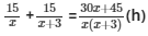
Vì phải dừng lại 20'= 1/3 h và đến B muộn hơn 10'=1/6 h nên ta có phương trình:
![]()
=>x=15 (km/h)
Vậy vận tốc dự định của người đó là 15km/h
Quảng cáo
Bạn muốn hỏi bài tập?
Câu hỏi hot cùng chủ đề
-
103437
-
Hỏi từ APP VIETJACK68807
-
56608
-
47524
-
44249
-
36842
-
35274
Gửi báo cáo thành công!
