Quảng cáo
1 câu trả lời 744

Ngọc Đức
· 5 năm trước
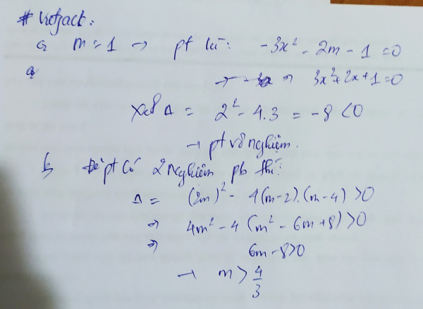
b = -2m thì delta phải là (-2m)^2 - 4.(m-4).(m-2) chứ ạ
Đỗ Tiến Hải
· 5 năm trước
Ừm viết chuẩn là như thế
Quảng cáo
Bạn cần hỏi gì?
Câu hỏi hot cùng chủ đề
-
Đã trả lời bởi chuyên gia
105463 -
Hỏi từ APP VIETJACK
Đã trả lời bởi chuyên gia
70180 -
Đã trả lời bởi chuyên gia
58255 -
Đã trả lời bởi chuyên gia
49752 -
Đã trả lời bởi chuyên gia
48497 -
Đã trả lời bởi chuyên gia
38049 -
Đã trả lời bởi chuyên gia
37648
Gửi báo cáo thành công!
