Giải bài toán bằng lập phương trình: một phòng họp có 120 chỗ ngồi nhưng do có 165 người đến họp người ta phải kê 3 dãy ghế, mỗi dãy kê thêm 1 ghế. Hỏi ban đầu có bao nhiêu dãy ghế biết rằng số dãy ghế không quá 20 dãy?
Quảng cáo
1 câu trả lời 2008
Gọi số dãy ghế ban đầu phòng họp có x (dãy) (x<20; x∈N∗)
→ Số dãy ghế lúc sau là: x+3(dãy)
Số ghế ban đầu của mỗi dãy là:
(ghế)
Số ghế lúc sau của mỗi dãy là:
(ghế)
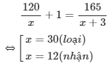
Theo đề bài ta có phương trình:

Vậy ban đầu trong phòng họp có 12 dãy ghế.
Quảng cáo
Bạn cần hỏi gì?
Câu hỏi hot cùng chủ đề
-
Đã trả lời bởi chuyên gia
103643 -
Hỏi từ APP VIETJACK
Đã trả lời bởi chuyên gia
68927 -
Đã trả lời bởi chuyên gia
56777 -
Đã trả lời bởi chuyên gia
47628 -
Đã trả lời bởi chuyên gia
44434 -
Đã trả lời bởi chuyên gia
36922 -
Đã trả lời bởi chuyên gia
35490
Gửi báo cáo thành công!
