Giải bài toán bằng cách lập phương trình hoặc hệ phương trình: Một xí nghiệp sản xuất nước mắm dự định thu mua 120 tấn cá trong một thời gian nhất định, nhờ đổi mới phương pháp thu mua xí nghiệp đã mua vượt mức 6 tấn mỗi tuần. Vì vậy xí nghiệp đã hoàn thành kế hoạch sớm hơn 1 tuần và vượt mức 10 tấn cá. Tính số cá mà xí nghiệp phải thu mua mỗi tuần theo kế hoạch.
Quảng cáo
3 câu trả lời 14655
Gọi thời gian ban đầu là : a( tuần; a>0 )
Thời gian trong thực tế là : a−1 ( tuần )
Năng suất ban đầu là : 120/a ( tấn/tuần )
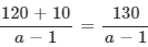
Năng suất trong thực tế là: ![]()
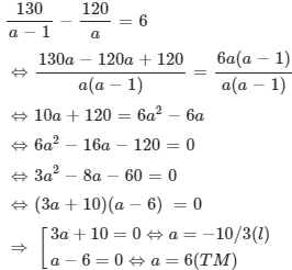
Theo đề bài ta có phương trình:

Theo kế hoạch số cá mỗi tuần phải thu mua là : 120/6=20 (tấn)
Gọi thời gian ban đầu là : a( tuần; a>0 )
Thời gian trong thực tế là : a−1 ( tuần )
Năng suất ban đầu là : 120/a ( tấn/tuần )
Năng suất trong thực tế là:
Theo đề bài ta có phương trình:
Theo kế hoạch số cá mỗi tuần phải thu mua là : 120/6=20 (tấn)
Gọi thời gian ban đầu là : a( tuần; a>0 )
Thời gian trong thực tế là : a−1 ( tuần )
Năng suất ban đầu là : 120/a ( tấn/tuần )
Năng suất trong thực tế là:
Theo đề bài ta có phương trình:
Theo kế hoạch số cá mỗi tuần phải thu mua là : 120/6=20 (tấn)
Quảng cáo
Bạn muốn hỏi bài tập?
Câu hỏi hot cùng chủ đề
-
103437
-
Hỏi từ APP VIETJACK68807
-
56608
-
47524
-
44249
-
36842
-
35274
