Một ô tô chuyển động đều trên cao tốc với vận tốc đã định để đi hết quãng đường 320km trong một thời gian đã định. Đi được một nửa quãng đường, xe nghỉ 10 phút để bơm xăng. Để đến nơi đúng giờ, xe phải tăng vận tốc thêm 4km/h trên nửa quãng đường còn lại. Tính thời gian xe lăn bánh trên đường.
Quảng cáo
1 câu trả lời 5166
10′=1/6h
Gọi vận tốc dự định của oto là x (km/h, x>0)
Thời gian dự định đinh của oto: 320/x
Thời gian oto đi hết một nửa quãng đường theo dự định:
Vận tốc oto lúc tăng: x+4
Thời gian oto đi sau khi nghỉ cho đến khi đi hết quãng đường:
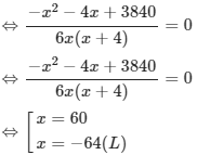
Theo bài ra ta có:


Thời gian oto lăn bánh trên đường:
![]()
Vậy thời gian oto lăn bánh trên đường là 31/6 (h)
Quảng cáo
Bạn cần hỏi gì?
Câu hỏi hot cùng chủ đề
-
Đã trả lời bởi chuyên gia
103520 -
Hỏi từ APP VIETJACK
Đã trả lời bởi chuyên gia
68861 -
Đã trả lời bởi chuyên gia
56682 -
Đã trả lời bởi chuyên gia
47564 -
Đã trả lời bởi chuyên gia
44351 -
Đã trả lời bởi chuyên gia
36876 -
Đã trả lời bởi chuyên gia
35387
