Quảng cáo
1 câu trả lời 1374
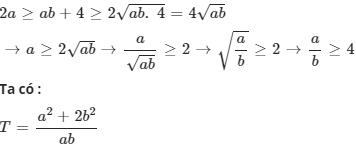
Áp dụng BĐT Côsi ta có:


Dấu "=' xảy ra ⇔a=4, b=1
Vậy GTNN của T=⇔ a= 4, b=1
Quảng cáo
Bạn muốn hỏi bài tập?
Câu hỏi hot cùng chủ đề
-
103349
-
Hỏi từ APP VIETJACK68744
-
56565
-
47490
-
44183
-
36818
-
35211
Gửi báo cáo thành công!
