Quảng cáo
1 câu trả lời 2082


Để hệ có vô số nghiệm →by=1→b=1=0 vô lý
→a=0 loại
Tương tự với b=0→Loại
→a, b≠0
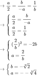
Để hệ có vô số nghiệm

Quảng cáo
Bạn muốn hỏi bài tập?
Câu hỏi hot cùng chủ đề
-
103437
-
Hỏi từ APP VIETJACK68807
-
56608
-
47524
-
44249
-
36842
-
35274
Gửi báo cáo thành công!
