Quảng cáo
1 câu trả lời 6145
Hoành độ giao điểm của (P) và (d) là nghiệm của phương trình:
2x²=5x−3
⇔ 2x²−5x+3=0
- Vì a+b+c=2+(−5)+3=0. Theo hệ thức viet ta có:

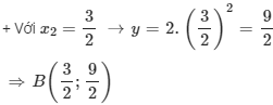
⇒ A(1;2)

Vậy tọa độ giao điểm của (P) và (d) là A(1; 2) và B()
Quảng cáo
Bạn muốn hỏi bài tập?
Câu hỏi hot cùng chủ đề
-
103437
-
Hỏi từ APP VIETJACK68807
-
56608
-
47524
-
44249
-
36842
-
35274
Gửi báo cáo thành công!
