Có 2 thùng đựng dầu, lúc đầu số dầu thùng lớn gấp đôi số dầu thùng nhỏ. Sau khi thêm vào thùng nhỏ 15l, lấy bớt thùng lớn 30l thì số dầu thùng nhỏ bằng 3/4 số dầu thùng lớn, hỏi lúc đầu mỗi thùng chứa mấy lít?
Quảng cáo
1 câu trả lời 9725
Gọi số dầu hai thùng chứa lớn và nhỏ lúc đầu lần lượt là a, b
Lúc đầu số dầu thùng lớn gấp đôi số dầu thùng nhỏ
⇒a=2b
Sau khi thêm vào thùng nhỏ 15l, lấy bớt thùng lớn 30l thì số dầu thùng nhỏ bằng 3/4 số dầu thùng lớn
⇒3/4(a−30)=b+15
⇔3a−90=4b+60
⇔3a−4b=150
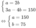
Ta có hệ phương trình:

Vậy ban đầu thùng lớn chứa 150l, thùng nhỏ chứa 75l.
Quảng cáo
Bạn cần hỏi gì?
Câu hỏi hot cùng chủ đề
-
Đã trả lời bởi chuyên gia
103520 -
Hỏi từ APP VIETJACK
Đã trả lời bởi chuyên gia
68861 -
Đã trả lời bởi chuyên gia
56682 -
Đã trả lời bởi chuyên gia
47564 -
Đã trả lời bởi chuyên gia
44351 -
Đã trả lời bởi chuyên gia
36876 -
Đã trả lời bởi chuyên gia
35387
Gửi báo cáo thành công!
