Quảng cáo
1 câu trả lời 4567
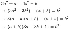
Ta có:

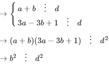
Gọi UCLN (a+b, 3a−3b+1)=d, d∈N∗

→b⋮d
Mà a+b⋮d→a⋮d
→3a−3b⋮d
Lại có 3a−3b+1⋮d
→1⋮d
→d=1
→(a+b,3a−3b+1)=1
Mà (a+b)(3a−3b+1)=à số chính phương
→a+b→a+b và 3a−3b+1 là số chính phương (đpcm)
Quảng cáo
Bạn cần hỏi gì?
Câu hỏi hot cùng chủ đề
-
Đã trả lời bởi chuyên gia
103520 -
Hỏi từ APP VIETJACK
Đã trả lời bởi chuyên gia
68861 -
Đã trả lời bởi chuyên gia
56682 -
Đã trả lời bởi chuyên gia
47564 -
Đã trả lời bởi chuyên gia
44351 -
Đã trả lời bởi chuyên gia
36876 -
Đã trả lời bởi chuyên gia
35387
Gửi báo cáo thành công!
