Quảng cáo
1 câu trả lời 4612

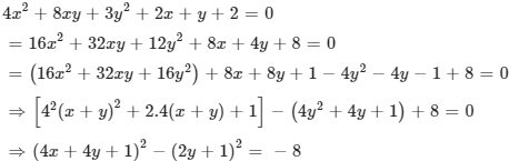
⇒(4x+4y+1−2y−1)(4x+4y+1+2y+1)=−8
⇒(4x+2y)(4x+6y+2)=−8
⇒(2x+y)(2x+3y+1)=−2
⇒(2x+y) và (2x+3y+1) ∈Ư(−2)={±1;±2}∈Ư-2={±1;±2}
⇒ Ta có bảng

Vậy các cặp giá trị (x; y) là (−1;1), (2;−2)
Quảng cáo
Bạn muốn hỏi bài tập?
Câu hỏi hot cùng chủ đề
-
103437
-
Hỏi từ APP VIETJACK68807
-
56608
-
47524
-
44249
-
36842
-
35274
Gửi báo cáo thành công!
