Hai vòi cùng chảy vào một bể không có nước sau 2 giờ 55 phút bể đầy. Nếu chảy riêng một mình đầy bể thì vòi một cần ít thời gian hơn vòi hai là 2 giờ. Hỏi mỗi vòi chảy riêng trong bao lâu đầy bể.
Quảng cáo
1 câu trả lời 3145
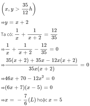
Đổi: 2h55p=h
Gọi thời gian vòi thứ nhất chảy một mình đầy bể là x (h)
Gọi thời gian vòi thứ nhất chảy một mình đầy bể là y (h)

⇒x=5h
⇒y=5+2=7h
Quảng cáo
Bạn cần hỏi gì?
Câu hỏi hot cùng chủ đề
-
Đã trả lời bởi chuyên gia
105261 -
Hỏi từ APP VIETJACK
Đã trả lời bởi chuyên gia
69992 -
Đã trả lời bởi chuyên gia
58082 -
Đã trả lời bởi chuyên gia
49147 -
Đã trả lời bởi chuyên gia
48356 -
Đã trả lời bởi chuyên gia
37910 -
Đã trả lời bởi chuyên gia
37360
Gửi báo cáo thành công!
