Quảng cáo
1 câu trả lời 3215
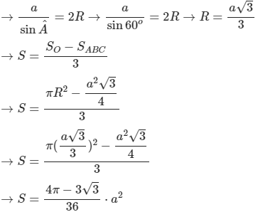
Gọi diện tích hình viên phân cần tìm là S
Ta có ΔABC đều cạnh a


Thoại Điện
· 4 năm trước
Chắc đúng ko v ạ
Quảng cáo
Bạn cần hỏi gì?
Câu hỏi hot cùng chủ đề
-
Đã trả lời bởi chuyên gia
105261 -
Hỏi từ APP VIETJACK
Đã trả lời bởi chuyên gia
69992 -
Đã trả lời bởi chuyên gia
58082 -
Đã trả lời bởi chuyên gia
49147 -
Đã trả lời bởi chuyên gia
48356 -
Đã trả lời bởi chuyên gia
37910 -
Đã trả lời bởi chuyên gia
37360
Gửi báo cáo thành công!
