Hai đội công nhân cùng làm một công việc thì làm xong trong 8 giờ. Nếu mỗi đội làm một mình xong công việc đó, đội thư nhất cần ít thời gian hơn so với đội thứ hai là 12 giờ. Hỏi mỗi đội làm xong công việc đó trong bao lâu.
Quảng cáo
2 câu trả lời 18837
Gọi x; y (giờ) lần lượt là thời gian đội thứ nhất và đội thứ hai làm một mình thì xong công việc (x; y>8)
Trong 11 giờ đội thứ nhất làm được (công việc)
Trong 11 giờ đội thứ hai làm được (công việc)
Hai đội cùng làm xong công việc trong 8 giờ nên:
![]()
Nếu làm một mình đội thứ nhất cần ít thời gian hơn đội thứ hai 12 giờ nên:
y=x+12 (2)
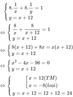
Từ (1); (2) ta có hệ phương trình sau:

Vậy:
+) Đội thứ nhất làm một mình xong công việc trong 12 giờ
+) Đội thứ hai làm một mình xong công việc trong 24 giờ
Gọi x; y (giờ) lần lượt là thời gian đội thứ nhất và đội thứ hai làm một mình thì xong công việc (x; y>8)
Trong 11 giờ đội thứ nhất làm được 1x(công việc)
Trong 11 giờ đội thứ hai làm được 1y (công việc)
Hai đội cùng làm xong công việc trong 8 giờ nên:
Nếu làm một mình đội thứ nhất cần ít thời gian hơn đội thứ hai 12 giờ nên:
y=x+12 (2)
Từ (1); (2) ta có hệ phương trình sau:
Vậy:
+) Đội thứ nhất làm một mình xong công việc trong 12 giờ
+) Đội thứ hai làm một mình xong công việc trong 24 giờ
Quảng cáo
Bạn cần hỏi gì?
Câu hỏi hot cùng chủ đề
-
Đã trả lời bởi chuyên gia
103520 -
Hỏi từ APP VIETJACK
Đã trả lời bởi chuyên gia
68861 -
Đã trả lời bởi chuyên gia
56682 -
Đã trả lời bởi chuyên gia
47564 -
Đã trả lời bởi chuyên gia
44351 -
Đã trả lời bởi chuyên gia
36876 -
Đã trả lời bởi chuyên gia
35387
