Một nhóm bạn cùng nhau quyên góp cho chương trình" Trái Tim cho em " được 72 triệu nhưng sau đó vì hoàn cảnh riêng có 2 bạn không tham gia được nên mỗi bạn còn lại tình nguyện góp thêm 3 triệu. Hỏi nhóm bạn ấy có bao nhiêu người?
Quảng cáo
2 câu trả lời 601
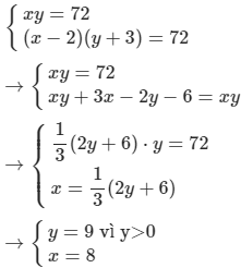
Gọi số người trong nhóm là x và mỗi bạn quyên góp y triệu (x∈N, y>0)
Theo bài ta có:

Vậy số người trong nhóm là 8 và mỗi bạn quyên góp 9 triệu
Quảng cáo
Bạn cần hỏi gì?
Câu hỏi hot cùng chủ đề
-
Đã trả lời bởi chuyên gia
103520 -
Hỏi từ APP VIETJACK
Đã trả lời bởi chuyên gia
68861 -
Đã trả lời bởi chuyên gia
56682 -
Đã trả lời bởi chuyên gia
47564 -
Đã trả lời bởi chuyên gia
44351 -
Đã trả lời bởi chuyên gia
36876 -
Đã trả lời bởi chuyên gia
35387
Gửi báo cáo thành công!
