Trên một khúc sông, 1 cano chạy xuôi dòng 96km. Sau đó chạy ngược dùng 80 km hết tất cả 8h. Lần khác, cano chạy xuôi dòng 120km sau đó chạy ngược dòng 60km cũng hết 8h. Tính vận tốc riêng của cano và dòng nước.
Quảng cáo
1 câu trả lời 9235
Gọi x; y (km/h) lần lượt là vận tốc riêng của ca nô và dòng nước (0<y<x)
Vận tốc ca nô khi xuôi dòng là: x+y (km/h)
Vận tốc ca nô khi ngược dòng là: x−y (km/h)
Ca nô xuôi dòng 96km và ngược dòng 80km hết 8 giờ nên:

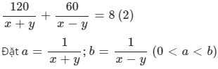
Ca nô xuôi dòng 120km và ngược dòng 60km hết 8 giờ nên:

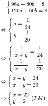
Từ (1); (2) ta có hệ phương trình:

Vậy:
+) Vận tốc riêng của ca nô là 22km/h
+) Vận tốc dòng nước là 2km/h
Quảng cáo
Bạn cần hỏi gì?
Câu hỏi hot cùng chủ đề
-
Đã trả lời bởi chuyên gia
103520 -
Hỏi từ APP VIETJACK
Đã trả lời bởi chuyên gia
68861 -
Đã trả lời bởi chuyên gia
56682 -
Đã trả lời bởi chuyên gia
47564 -
Đã trả lời bởi chuyên gia
44351 -
Đã trả lời bởi chuyên gia
36876 -
Đã trả lời bởi chuyên gia
35387
Gửi báo cáo thành công!
