Cho số tự nhiên có 2 chữ số, tổng của chữ số hàng chục và chữ số hàng đơn vị bằng 14. Nếu đổi chữ số hàng chục và hàng đơn vị cho nhau thì được số mới lớn hơn số đã cho 18 đơn vị. Tìm số đã cho
Quảng cáo
1 câu trả lời 754
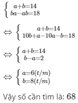
Gọi số tự nhiên cần tìm là: ab (0<a, b≤9)
Tổng của chữ số hàng chục và chữ số hàng đơn vị là 14 nên ta có: a+b=14 (1)
Nếu đổi chữ số hàng chục và hàng đơn vị cho nhau thì được số mới lớn hơn số đã cho 18 đơn vị nên ta có: ba−ab=18 (2)
Từ (1) và (2), ta có hệ:

Vinh Quang
· 5 năm trước
hmmm , vậy biết thì hỏi làm gì ???
Quảng cáo
Bạn cần hỏi gì?
Câu hỏi hot cùng chủ đề
-
Đã trả lời bởi chuyên gia
105261 -
Hỏi từ APP VIETJACK
Đã trả lời bởi chuyên gia
69992 -
Đã trả lời bởi chuyên gia
58082 -
Đã trả lời bởi chuyên gia
49147 -
Đã trả lời bởi chuyên gia
48356 -
Đã trả lời bởi chuyên gia
37910 -
Đã trả lời bởi chuyên gia
37360
Gửi báo cáo thành công!
