Một xe máy đi từ A đến B trong một thời gian dự định. Nếu vận tốc tăng thêm 14km/h thì đến sớm hơn 2 giờ. Nếu giảm vận tốc đi 4Km/h thì đến muộn hơn 1 giờ. Tính vận tốc dự định và thời gian dư định của xe đó.
Quảng cáo
2 câu trả lời 29600
Gọi vận tốc dự định là x(km/h)
Thời gian dự định là y (giờ)
Quãng đường AB là x.y (km)
Nếu vận tốc tăng thêm 14km/h thì đến sớm hơn 2 giờ nên :
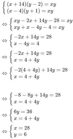
(x+14)(y−2)=xy (1)
Nếu giảm vận tốc đi 4 km/h thì đến muộn hơn 1 giờ nên :
(x−4)(y+1)=xy (2)
Từ (1) và (2) ta có hệ phương trình :

Vậy vận tốc dự định là 28km/h và thời gian dự định là 6 giờ
Quảng cáo
Bạn cần hỏi gì?
Câu hỏi hot cùng chủ đề
-
Đã trả lời bởi chuyên gia
103643 -
Hỏi từ APP VIETJACK
Đã trả lời bởi chuyên gia
68927 -
Đã trả lời bởi chuyên gia
56777 -
Đã trả lời bởi chuyên gia
47628 -
Đã trả lời bởi chuyên gia
44434 -
Đã trả lời bởi chuyên gia
36922 -
Đã trả lời bởi chuyên gia
35490
Gửi báo cáo thành công!
