Quảng cáo
2 câu trả lời 493
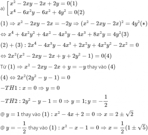
a) ![]()
Cần thử lại
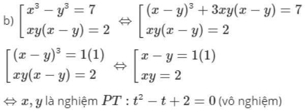
b) Vô nghiệm
Giải thích các bước giải:

Chú ý : Do có phép bình phương (∗)(∗) không tương đương nên phải thử lại để loại bỏ nghiệm ngoại laị ( bạn tự thử bằng cách thay vào (1)

4 năm trước
a)
Cần thử lại
b) Vô nghiệm
Giải thích các bước giải:
Quảng cáo
Bạn cần hỏi gì?
Câu hỏi hot cùng chủ đề
-
Đã trả lời bởi chuyên gia
103520 -
Hỏi từ APP VIETJACK
Đã trả lời bởi chuyên gia
68861 -
Đã trả lời bởi chuyên gia
56682 -
Đã trả lời bởi chuyên gia
47564 -
Đã trả lời bởi chuyên gia
44351 -
Đã trả lời bởi chuyên gia
36876 -
Đã trả lời bởi chuyên gia
35387
Gửi báo cáo thành công!
