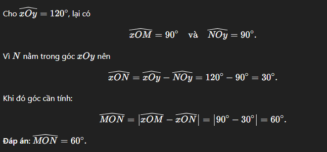
cho góc xOy =120 độ trong góc xOy vẽ các điểm M và N sao cho xOm=NOy=90 độ
a)Tính số đo của góc MON
a)Tính số đo của góc MON
Quảng cáo
2 câu trả lời 153
Quảng cáo
Bạn cần hỏi gì?
Câu hỏi hot cùng chủ đề
-
Đã trả lời bởi chuyên gia
105730 -
Hỏi từ APP VIETJACK
Đã trả lời bởi chuyên gia
70392 -
Đã trả lời bởi chuyên gia
58584 -
Đã trả lời bởi chuyên gia
50482 -
Đã trả lời bởi chuyên gia
48671 -
Đã trả lời bởi chuyên gia
38221 -
Đã trả lời bởi chuyên gia
37994
Gửi báo cáo thành công!

