Dung Lê Ngọc
Hỏi từ APP VIETJACK
Giải các phương trình:
4(3x - 2) + (2 - 3x)3 = 0
Quảng cáo
2 câu trả lời 5312
1 năm trước
Giải chi tiết:
Bước 1: Đặt điều kiện xác định và khai triển phương trình
Phương trình ban đầu là:
![]()
Khai triển phần 4(3x - 2):
4 . 3x - 4 . 2 = 12x - 8
Do đó, phương trình trở thành:
Bước 2: Đặt ẩn phụ
Đặt y = 2 - 3x, ta có:

Thay vào phương trình, ta được:
![]()
Rút gọn:

Bước 3: Giải phương trình ẩn phụ
Phương trình:
![]()
được viết thành:
![]()
Tách thành các nhân tử:
![]()
Do đó:
![]()
Bước 4: Trả về giá trị
Từ y = 2 -3x, ta có:
![]()
- Với y = 0:

- Với y = 2:

- Với y = -2:

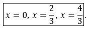
Kết luận
Nghiệm của phương trình là:
1 năm trước
4(3x-2)+(2-3x)³=0
<=>-4(2-3x)+(2-3x)³=0
<=>(2-3x)[-4+(2-3x)²]=0
<=>(2-3x)(-4+4-12x+9x²)=0
<=>(2-3x) 3x(3x-4)=0
<=>2-3x=0 <=>x=2/3
3x=0 x=0
3x-4=0 x=4/3 Vậy x thuộc {2/3; 0;4/3}
<=>-4(2-3x)+(2-3x)³=0
<=>(2-3x)[-4+(2-3x)²]=0
<=>(2-3x)(-4+4-12x+9x²)=0
<=>(2-3x) 3x(3x-4)=0
<=>2-3x=0 <=>x=2/3
3x=0 x=0
3x-4=0 x=4/3 Vậy x thuộc {2/3; 0;4/3}
Quảng cáo
Bạn muốn hỏi bài tập?
Câu hỏi hot cùng chủ đề
-
103437
-
Hỏi từ APP VIETJACK68807
-
56608
-
47524
-
44249
-
36842
-
35274
Gửi báo cáo thành công!
