Quảng cáo
3 câu trả lời 286
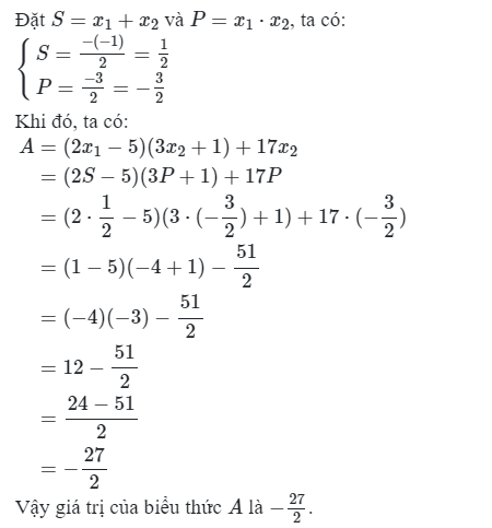
Đặt \(S = x_1 + x_2\) và \(P = x_1 \cdot x_2\), ta có:
\[
\begin{cases}
S = \frac{-(-1)}{2} = \frac{1}{2} \\
P = \frac{-3}{2} = -\frac{3}{2}
\end{cases}
\]
Khi đó, ta có:
\[
\begin{aligned}
A & = (2x_1 - 5)(3x_2 + 1) + 17x_2 \\
& = (2S - 5)(3P + 1) + 17P \\
& = (2 \cdot \frac{1}{2} - 5)(3 \cdot (-\frac{3}{2}) + 1) + 17 \cdot (-\frac{3}{2}) \\
& = (1 - 5)(-4 + 1) - \frac{51}{2} \\
& = (-4)(-3) - \frac{51}{2} \\
& = 12 - \frac{51}{2} \\
& = \frac{24 - 51}{2} \\
& = -\frac{27}{2}
\end{aligned}
\]
Vậy giá trị của biểu thức \(A\) là \(-\frac{27}{2}\).
Bảo Tống
· 2 năm trước
cả,,
Bảo Tống
· 2 năm trước
cảmmmm ơnnnn ạaaaaaaaaaaaaaaaaaaaaaaaaaaaaaaaaaaaaaaaaaaaaaaaaaaaaaaaaaaaaaaaaaaaaaaaaaaaaa
Bảo Tống
· 2 năm trước
bạn ơi
Bảo Tống
· 2 năm trước
2 S − 5 ) ( 3 P + 1 ) + 17 P
Bảo Tống
· 2 năm trước
bước này là sao v
Bảo Tống
· 2 năm trước
lần đầu thấy
Bảo Tống
· 2 năm trước
;-;
O_Ob
· 2 năm trước
khó giải thik lắm
O_Ob
· 2 năm trước
bạn cứ ghi vô đi
Bảo Tống
· 2 năm trước
sợ ôg thầy biết XD
Quảng cáo
Bạn cần hỏi gì?
Câu hỏi hot cùng chủ đề
-
Đã trả lời bởi chuyên gia
105660 -
Hỏi từ APP VIETJACK
Đã trả lời bởi chuyên gia
70338 -
Đã trả lời bởi chuyên gia
58510 -
Đã trả lời bởi chuyên gia
50237 -
Đã trả lời bởi chuyên gia
48623 -
Đã trả lời bởi chuyên gia
38179 -
Đã trả lời bởi chuyên gia
37884
Gửi báo cáo thành công!

